About
Contact
Esoulent
Fresh
Trending
Hot
Random
Advertisement
Home
Education
Let `e_1 and e_2` be the eccentricities of a hyperbola and its conjugate hyperbola
Let `e_1 and e_2` be the eccentricities of a hyperbola and its conjugate hyperbola
Jenny
6:06 AM
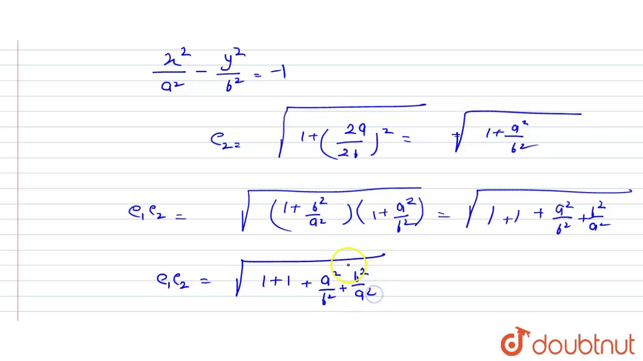
Let `e_1 and e_2` be the eccentricities of a hyperbola and its conjugate hyperbola respectively. Statement 1 : `e_1 e_2 gt sqrt(2)`. Statement 2 : `1/e^2_1 + 1/e^2_2 = `
hyperbola
Post a Comment
0 Comments
Popular Videos
ಈ ರೈತನ ಟೆಕ್ನಿಕ್ ವಿದೇಶಗಳಲ್ಲೂ ವೈರಲ್ ಆಗಿದೆ ಅದು ಯಾವುದು ಗೊತ್ತಾ | Natural Technique of farmer
6:06 AM
M1050C for complicated shape card-M1050C用於複雜樣式的清廢
6:12 AM
Let's Play MapleLegends ep.11 | Obtaining Zakum Helmet!
8:36 AM
黔灵山 Qianling Mt: Abandoned Fubao, it's good to have friends you can rely on, live 16.04.2020
6:02 AM
In Your Head vs Connecting With The Emotion To Begin The Work
12:30 AM
Dragon Nest 2 (Tencent) - MMORPG New Beta 2020 Gameplay (Android|IOS)
6:15 AM
25分鐘居家徒手高強度全身性訓練 25 min total body HIIT workout (no equipment needed)
10:30 AM
Archive
March 2021
827
February 2021
642
December 2020
797
November 2020
493
October 2020
791
July 2020
214
June 2020
924
May 2020
1169
April 2020
4396
March 2020
174
0 Comments